校訓(xùn):博學(xué) 審問(wèn) 慎思 明辨 篤行

學(xué)生天地

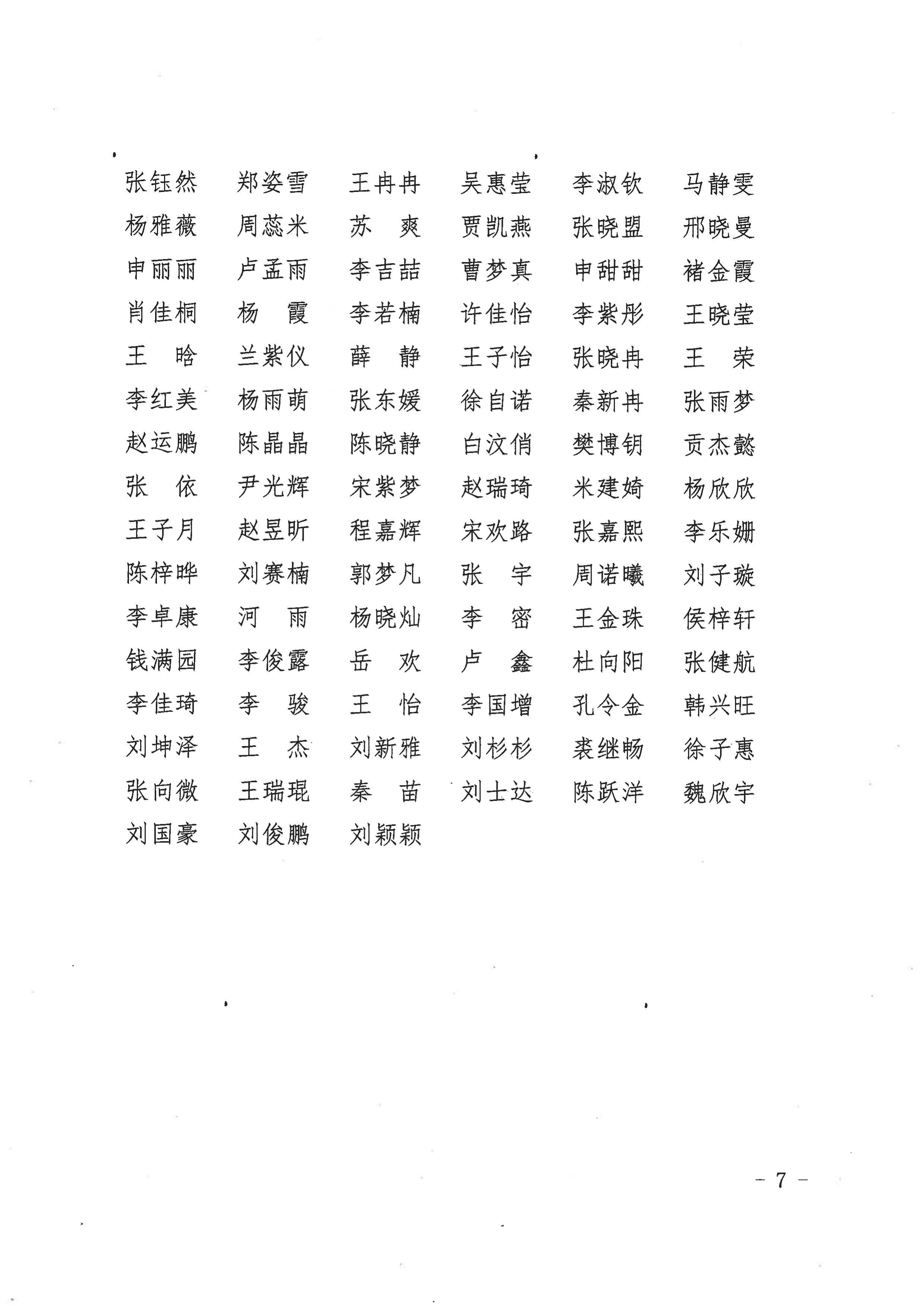
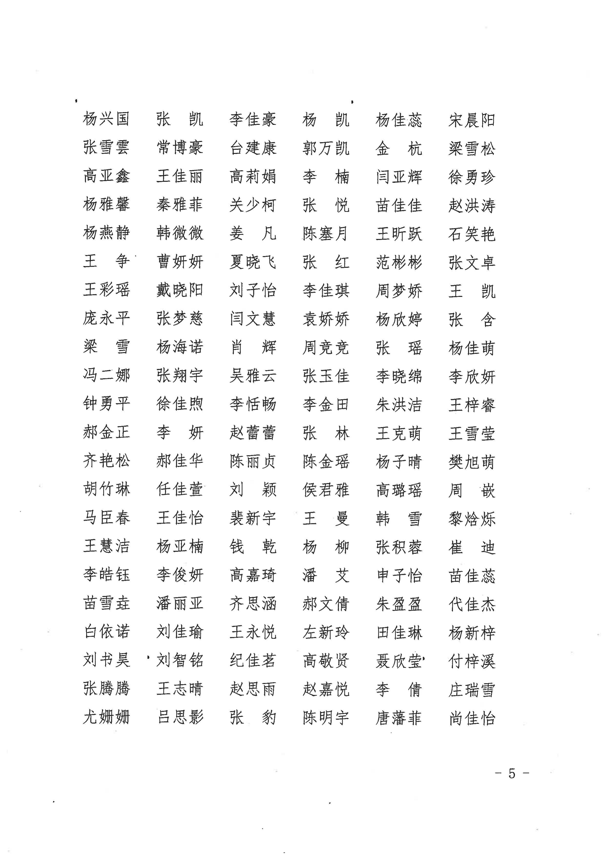
2021-2022先進(jìn)班集體、三好學(xué)生、優(yōu)秀學(xué)生干部名單





學(xué)生工作處   供稿

广汉市| 嘉禾县| 岳西县| 息烽县| 长顺县| 五峰| 石河子市| 邵武市| 兴国县| 商水县| 合水县| 揭西县| 黑水县| 虞城县| 温州市| 隆尧县| 宁南县| 宜兴市| 黔西| 湖口县| 都匀市| 姜堰市| 湖州市| 兰西县| 安乡县| 普宁市| 固阳县| 彭泽县| 锦州市| 江源县| 榆树市| 潢川县| 建阳市| 西华县| 明溪县| 怀集县| 张家港市| 平陆县| 栖霞市| 乌拉特中旗| 开远市|